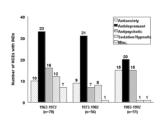
Figure 6.
Number of IND filings by 32 U.S. pharmaceutical firms in four specific and one miscellaneous psychotropic drug categories by period of IND filing.

Back to Chapter

published 2000