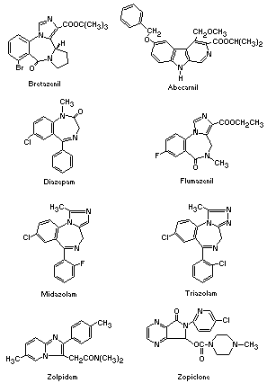
Figure 1. 
FIG. 1. Structures of benzodiazepines and benzodiazepine-like substances.
Back to Chapter

published 2000