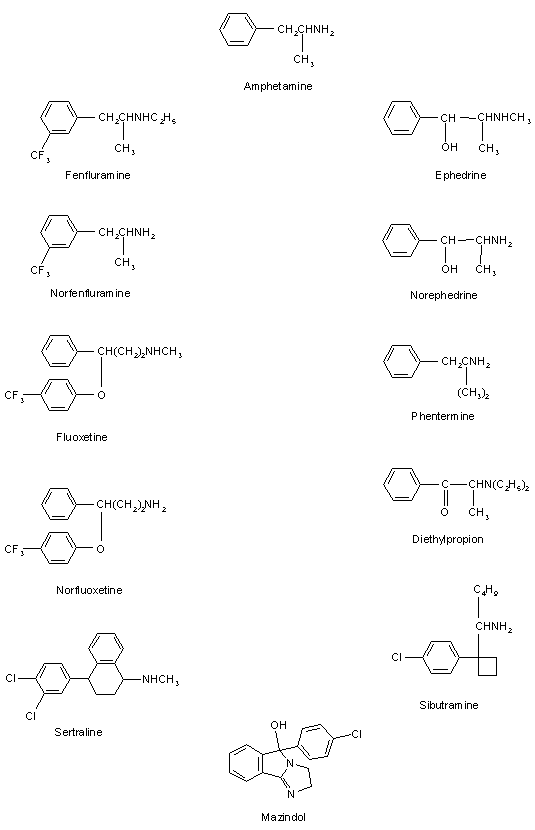
Figure 1
Chemical structures of anorexigenic compounds. All of these compounds, with the exception of sertraline and mazindol, are structurally derived from amphetamine.
Back to Chapter

published 2000