| Figure 21 |
![]() |
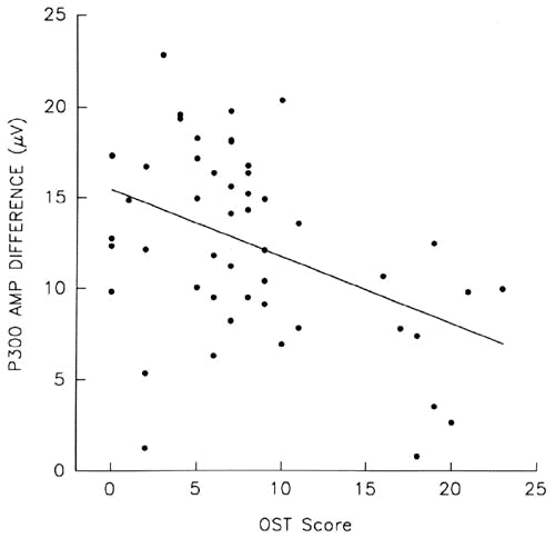
| Comparison of P300 amplitude and performance on the Goldstein-Scheerer Object Sorting Test (OST) in normal university students. Increased scores, representing allusive thinking, are correlated significantly with lower P300 amplitude. (From ref. 114) |
| Back to Chapter |
published 2000