Figure 17 |
![]() |
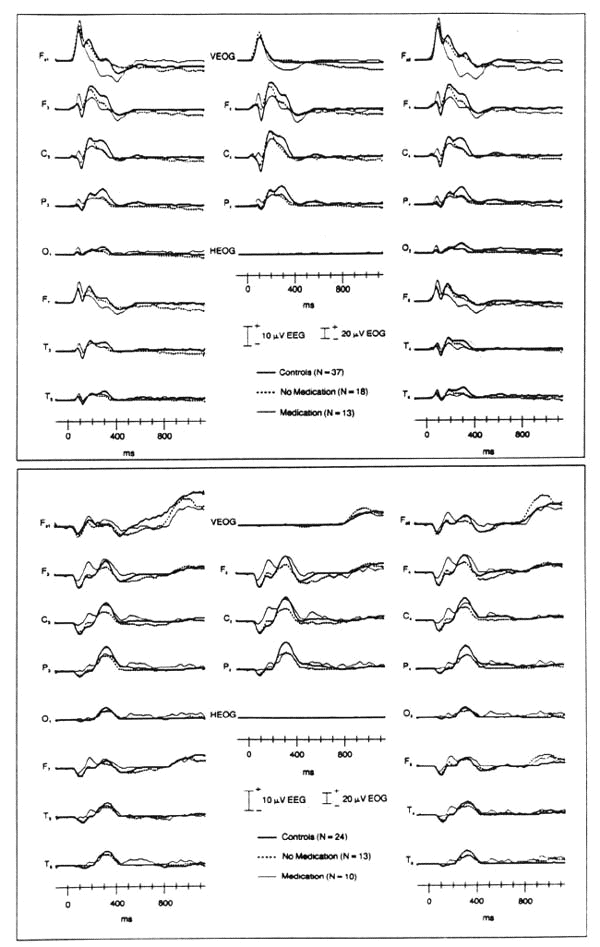
Top panel shows abnormal P300 responses in medicated and unmedicated schizophrenics to infrequent loud stimuli (P300a); bottom panel shows abnormal P300 responses to a target tone (P300b). (From ref. 82) |
Back to Chapter |
published 2000